A antiga regra 85/95 e a atual 86/96 não possuem uma idade mínima, entretanto, possuem um princípio de somatória de pontos que o trabalhador necessita preencher para que consiga se aposentar nesta modalidade. Esta regra funciona para que o trabalhador adquira a aposentadoria sem incidência do fator previdenciário. Vale ressaltar que a regra 85/95 (válida até 31/12/2018) está inclusa na aposentadoria por tempo de contribuição, por isso, a necessidade de cumprir o período de 35 anos de contribuição.
Na regra 85/95 era necessário somar o tempo contribuição com a idade do trabalhador, a somatória dos pontos devia fechar em 85 anos para as mulheres e 95 anos para os homens, mas isto não significa que a idade para se aposentar era de 85 e 95 anos, vejamos o seguinte exemplo:
O cálculo anterior funcionava da seguinte maneira:
Robson tem 60 anos de idade e 35 anos de contribuição.
60 + 35 = 95
Nesta situação, Robson se aposenta com o valor integral do salário.
E quando a trabalhadora for mulher:
Clara tem 56 anos de idade e 29 anos de contribuição.
56 + 29 = 85.
No exemplo acima Clara conseguiu atingir a somatória de pontos, entretanto, não atingiu o prazo mínimo de contribuição, não podendo se aposentar nesta modalidade sem a incidência de fator previdenciário.
O antigo cálculo da aposentadoria 85/95 podia também ser efetuado no caso do trabalhador exercer a função de professor, entretanto, o professor recebia um adicional de 5 pontos no cálculo, ficando da seguinte maneira:
Professora Marta tem 55 anos de idade e 25 anos de contribuição
25 + 55 + 5 = 85.
Sendo assim, Marta podia se aposentar sem a incidência do fator previdenciário.
A previdência social vem sendo assunto há muito tempo, com muitas críticas e elogios o assunto se tornou pauta importante para 2019 principalmente pela falta de informação e atualização sobre as emendas da proposta.
Algumas das alterações já feitas desde a primeira proposta vêm gerando debate entre os trabalhadores pela polêmica que as englobam. Desde a sua primeira redação a proposta vem sendo negada por ampliar o conceito de longevidade, considerando maior aptidão do trabalhador com o passar do tempo.
Tendo em vista que a aposentadoria é uma garantia aos trabalhadores que cumprem um período mínimo contribuindo para a previdência social, a implementação da reforma da previdência reduz os gastos da economia nacional, haja vista a grande economia nos pagamentos irregulares.
O enquadramento com o atual cenário das aposentadorias do INSS leva em consideração o processo evolutivo do ser humano, que segundo estudos tende a aumentar a capacidade laboral do trabalhador já que este aumentará sua expectativa de vida, ocasionando em algumas modalidades o afastamento dos trabalhadores que serão afetados pela possível reforma.
Vale ressaltar que a proposta da reforma da previdência ainda não foi aprovada, desde a primeira redação ela vem sofrendo alterações e complementações não tendo nenhuma fixação quanto aos períodos e modalidades. Vale ressaltar que o novo Presidente eleito também já adiantou que fará algumas alterações na proposta.
Como funcionará a aposentadoria 86/96?
A somatória da aposentadoria 86/96 também busca a não incidência do fator previdenciário, por isso, os trabalhadores homens devem atingir 96 pontos, somando os 35 anos de contribuição obrigatória com a idade do trabalhador.
Para as trabalhadoras mulheres se encaixarem no cálculo da aposentadoria 86/96, faz-se necessário atingir 86 pontos, somando 30 anos de contribuição obrigatória com a idade da trabalhadora.
Além disso, a nova roupagem da aposentadoria 86/96 por pontos vem tendo bastante discussões quanto a suas especialidades.
O que é Fator Previdenciário e como funciona?
O fator previdenciário surgiu com a publicação da Lei 9.876/99 e é um valor que incide sobre a maioria dos cálculos para benefícios do INSS, normalmente este percentual é incluso quando já fixado o valor do salário através das maiores contribuições.
Atualmente o fator previdenciário causa polêmica pelo fato da incidência aumentar ou diminuir o valor do salário benefício variando de caso a caso. Entretanto, o valor de incidência não é incluso no cálculo de aposentadoria Especial e na regra de aposentadoria por pontos 85/95, sendo incluso facultativamente nas aposentadorias por idade e por idade do deficiente físico.
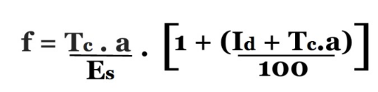
A fórmula do fator previdenciário será a seguinte:

E para que entendamos a fórmula:
f = fator previdenciário;
Es = expectativa de sobrevida no momento da aposentadoria;
Tc = tempo de contribuição até o momento da aposentadoria;
Id = idade no momento da aposentadoria;
a = alíquota de contribuição correspondente a 0,31.
Para saber o valor de incidência com a tabela é necessário saber a idade do trabalhador e o tempo de contribuição, por exemplo, um homem de 55 anos com 35 anos de contribuição o valor do fator será de 0,7 vide a tabela nacional de incidência lançada anualmente.
Vale ressaltar que a tabela apresenta idade e tempo de contribuição crescente e que ultrapassam os que usamos atualmente, isso acontece porque estudos comprovam que com o passar dos anos o trabalhador poderá aumentar a expectativa de vida, a capacidade laboral e tecnologia.
Dica extra: Compreenda e realize os procedimentos do INSS para usufruir dos benefícios da previdência social.
Já pensou você saber tudo sobre o INSS desde os afastamentos até a solicitação da aposentadoria, e o melhor, tudo isso em apenas um final de semana?
Uma alternativa rápida e eficaz é o curso INSS na prática: Trata-se de um curso rápido, porém completo e detalhado com tudo que você precisa saber para dominar as regras do INSS, procedimentos e normas de como levantar informações e solicitar benefícios para você ou qualquer pessoa que precise. Não perca tempo, clique aqui e domine tudo sobre o INSS.
Conteúdo original Melo Advogados
O post INSS: Aposentadoria pela Regra 85/95 x 86/96, o que mudou? apareceu primeiro em Jornal Contábil Brasil – Notícias do Brasil e do Mundo.
Fonte: Jornal Contábil


